欢迎您访问浙江自考网!  今天是
当前位置: > 串讲笔记 >

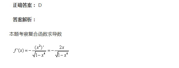
高等教育自考高等数学(一)单题:函数导数012

2018-08-07 14:47来源:浙江自考网
高等教育自考高等数学(一)单题:函数导数012,由浙江省自考网整理,供自考生自考练习。更多自考高等数学(一)单题,敬请自考生关注浙江省自考网。















 
上一篇:高等教育自考高等数学(一)单题:边际成本011

下一篇:高等教育自考高等数学(一)单题:函数定义域013