欢迎您访问浙江自考网!  今天是
当前位置: > 串讲笔记 >

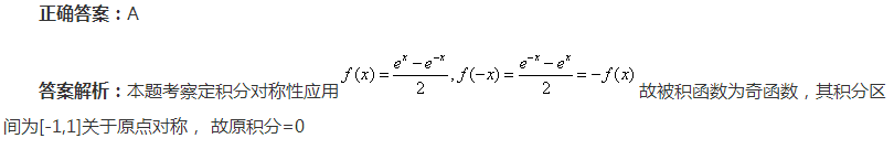
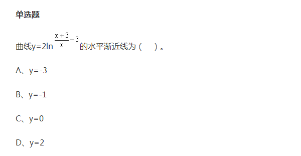
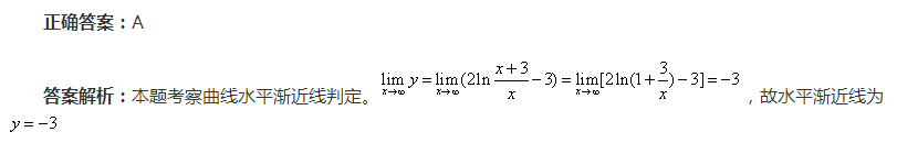
浙江自考《高等数学(一)》题型测试029题

2018-08-15 10:09来源:未知
浙江自考《高等数学(一)》题型测试029题,由浙江省自考网整理,供自考生自考练习。























































上一篇:浙江自考《大学语文》题型测试040题

下一篇:浙江自考《高等数学(一)》题型测试030题