欢迎您访问浙江自考网!  今天是
当前位置: > 串讲笔记 >

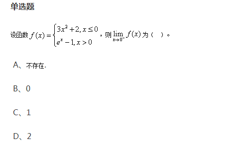
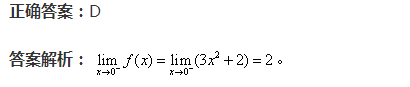
浙江自考《高等数学(一)》题型测试045题

2018-08-24 14:38来源:浙江自考网
浙江自考《高等数学(一)》题型测试045题,由浙江省自考网整理,供自考生自考练习。



















































上一篇:浙江自考《高等数学(一)》题型测试044题

下一篇:浙江自考《英语(一)》题型测试060题