欢迎您访问浙江自考网!  今天是
当前位置: > 串讲笔记 >

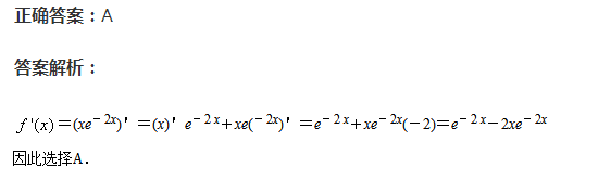
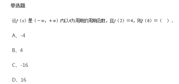
浙江自考《高等数学(一)》题型测试047题

2018-08-27 10:11来源:浙江自考网
浙江自考《高等数学(一)》题型测试047题,由浙江省自考网整理,供自考生自考练习。





























































上一篇:浙江自考《高等数学(一)》题型测试046题

下一篇:浙江自考《高等数学(一)》题型测试048题