欢迎您访问浙江自考网!  今天是
当前位置: > 串讲笔记 >

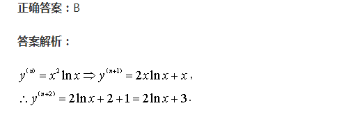
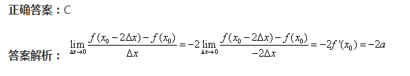
浙江自考《高等数学(一)》题型测试050题

2018-08-28 15:21来源:浙江自考网
浙江自考《高等数学(一)》题型测试050题,由浙江省自考网整理,供自考生自考练习。










































上一篇:浙江自考《高等数学(一)》题型测试049题

下一篇:浙江自考《高等数学(一)》题型测试051题