欢迎您访问浙江自考网!  今天是
当前位置: > 串讲笔记 >

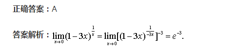
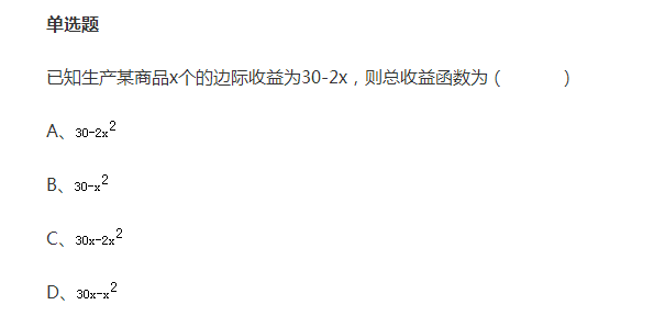
浙江自考《高等数学(一)》题型测试060题

2018-09-03 09:20来源:浙江自考网
浙江自考《高等数学(一)》题型测试060题,由浙江省自考网整理,供自考生自考练习。












































上一篇:浙江自考《高等数学(一)》题型测试059题

下一篇:浙江自考《英语(一)》题型测试074题