欢迎您访问浙江自考网!  今天是
当前位置: > 串讲笔记 >

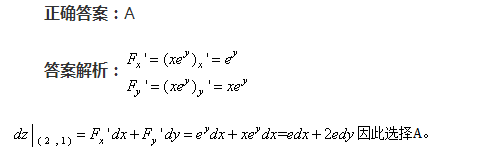
浙江自考《高等数学(一)》题型测试064题

2018-09-04 09:46来源:浙江自考网
浙江自考《高等数学(一)》题型测试064题,由浙江自学考试自考网整理,供自考生自考练习。











































上一篇:浙江自考《大学语文》题型测试073题

下一篇:浙江自考《高等数学(一)》题型测试065题