欢迎您访问浙江自考网!  今天是
当前位置: > 串讲笔记 >

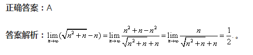
浙江自考《高等数学(一)》题型测试067题

2018-09-05 09:52来源:浙江自考网
浙江自考《高等数学(一)》题型测试067题,由浙江自学考试自考网整理,供自考生自考练习。






















































上一篇:浙江自考《马克思主义基本原理概论》考试大纲:第四章 (一 )

下一篇:浙江自考《高等数学(一)》题型测试068题