欢迎您访问浙江自考网!  今天是
当前位置: > 串讲笔记 >

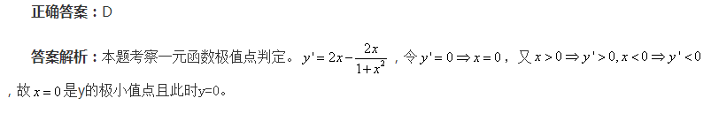
浙江自考《高等数学(一)》题型测试096题

2018-09-18 09:42来源:浙江自考网
浙江自考《高等数学(一)》题型测试096题,由浙江自学考试自考网整理,供自考生自考练习。













































上一篇:浙江自考《高等数学(一)》题型测试095题

下一篇:浙江自考《中国近现代史纲要》题型测试093题