欢迎您访问浙江自考网!  今天是
当前位置: > 串讲笔记 >

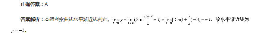
浙江自考《高等数学(一)》题型测试098题

2018-09-19 10:00来源:浙江自考网
浙江自考《高等数学(一)》题型测试098题,由浙江自学考试自考网整理,供自考生自考练习。










































上一篇:浙江自考《高等数学(一)》题型测试097题

下一篇:浙江自考《高等数学(一)》题型测试099题