欢迎您访问浙江自考网!  今天是
当前位置: > 串讲笔记 >

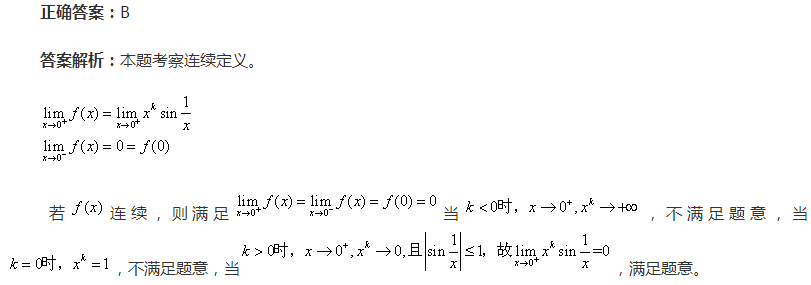
浙江自考《高等数学(一)》题型测试0111题

2018-09-26 14:31来源:浙江自考网
浙江自考《高等数学(一)》题型测试0111题,由浙江自学考试自考网整理,供自考生自考练习。




















































上一篇:浙江自考《高等数学(一)》题型测试0110题

下一篇:浙江自考《中国近现代史纲要》题型测试0108题