欢迎您访问浙江自考网!  今天是
当前位置: > 串讲笔记 >

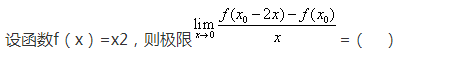
浙江自考《高等数学(一)》试题测试0115题

2018-10-08 10:33来源:浙江自考网
浙江自考《高等数学(一)》试题测试0115题,由浙江自学考试自考网整理,供自考生自考练习。




































上一篇:浙江自考《大学语文》试题测试0126题

下一篇:浙江自考《高等数学(一)》试题测试0116题