欢迎您访问浙江自考网!  今天是
当前位置: > 串讲笔记 >

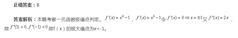
浙江自考《高等数学(一)》试题测试0120题

2018-10-16 10:48来源:浙江自考网
浙江自考《高等数学(一)》试题测试0120题,由浙江自学考试自考网整理,供自考生自考练习。

















































上一篇:浙江自考《高等数学(一)》试题测试0119题

下一篇: 浙江自考《中国近现代史纲要》题型测试0118题