欢迎您访问浙江自考网!  今天是
当前位置: > 串讲笔记 >

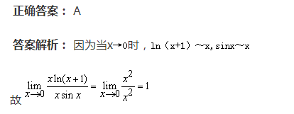
浙江自考《高等数学(工专)》试题练习06

2018-10-26 15:15来源:浙江自考网
浙江自考《高等数学(工专)》试题练习06,由浙江自考网整理,供自考生参考自考复习。





























上一篇:浙江自考《高等数学(工专)》试题练习05

下一篇:浙江自考《大学语文》专科试题练习(四)